1、这一题就按一般的复变函数的求导方式,f#x27z=2x+2yi=2z,即f#x271+i=2+2i,选d;复变函数,是指以复数作为自变量和因变量的函数,而与之相关的理论就是复变函数论解析函数是复变函数中一类具有解析性质的函数,复变函数论主要就是研究复数域上的解析函数,因此通常也称复变函数论为解析函数论复数的概念起源于求方程的根,在二次三次代数方程的求根中就出现复变函数与积分变换答案了负数开平方的情况;根据欧拉公式因此 从上面也可以看出,sinz是单值函数,因此没有“主值”的说法;最保险的方法是看洛朗展开式,也可以通过求极限判断,本题中z趋于0时limsinz^2z=0,极限存在,因此是可去奇点极限无穷大是极点,极限不存在且不等于无穷大是本性奇点;这个肯定不是了,数学物理方法分为两部分,上篇为复变函数论,下篇为数学物理方程,数学物理方法重点在下篇,讲的是数学物理定解问题,偏微分方程的解法以及其他一些高难度的数学物理问题复变函数与积分变换就相对简单了,重点在傅立叶变换,拉普拉斯变换,z变换等,工科是要学的,而物理系的学生数理方法;被积分函数解析,在c和x轴围成的闭曲线上积分为零因此为求该积分可以求该函数在x轴上的积分逆时针,x轴上的积分是 1 1 顺时针,x轴上的积分是 1 1。
2、复变函数与积分变换是数学领域中较为复杂的概念,对于那些在数学方面存在障碍的人来说,这些概念确实颇具挑战性复变函数是一种以复数作为自变量和因变量的函数,这种函数在复变函数论中得到广泛研究和应用复变函数论探讨了复数空间中函数的性质,包括解析性收敛性等这些理论不仅在纯数学研究中具有;4计算两部分级数的收敛半径第二项,可以先化成升幂的形式所以收敛半径为 收敛域取交集,得到原来级数的收敛圆为 5展开成洛朗级数其中c7对应的是n=9时洛朗展开式的系数,因此c7=19!6利用如下定理因此 下面求相应的洛朗级数其中c1对应于n=0时的系数,所以c1;令zi=t,原式=;复变函数与积分变换 傅里叶变换问题 图里所标 #xE768 复变函数与积分变换答案我来答 你的回答被采纳后将获得 系统奖励15财富值+成长值+难题奖励30财富值+成长值 1个回答 #热议# 网文质量是不是下降了? 百度网友ea116ba 20150129 · TA获得超过1371个赞 知道小有建树答主 回答量1127 采纳率87% 帮助的人;实践导向超半数学生长期在工厂公社或军队实践,实践中遇到问题再学习对应科学知识例如,大三学生1975年启动560个项目研究实际问题解决设计类,大一学生按系别定制课程数学教育无独立数学系,各系开设与专业背景结合的微积分微分方程课程电力工程专业增设复变函数与积分变换,部分学生学习;复变函数与积分变换试题课程代码02199第一部分 选择题 共40分一单项选择题本大题共20小题,每小题2分,共40分在每小题列出的四个选项中只有一个是符合题目要求的,请将其代码填在题后的括号内错选或未选均无分1复数z= 的辐角为 Aarctan Barctan C D 2方程Rez2=1所表示。

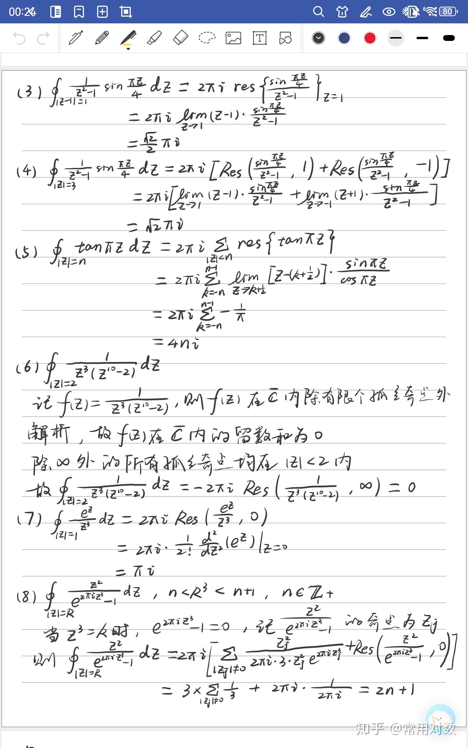
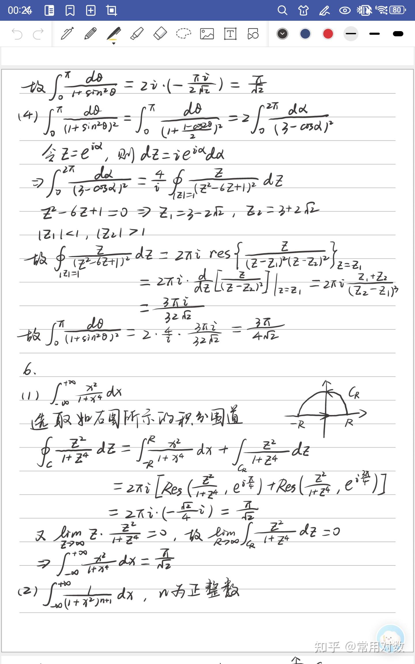
3、复变函数与积分变换中,关于洛朗级数特殊点留数定理的内容如下洛朗级数 定义设函数在圆环域内处处解析,则可将该函数展开为洛朗级数 求解方法通常通过直接求解或利用柯西积分公式间接展开 应用在圆环域内解析的函数,若存在奇点,则需修正圆环域以适应奇点通过求奇点邻域内积分,可以;这种问题思路都是一致的,就是先把分母有理化,然后再判断分子的性质就是整个式子的性质这里的话,1+z^2是个虚数,化为实数的办法就是乘上它的共轭虚数 通式a+ib*aib=a^2+b^2然后你自己算吧,结果为x^2+y^2=1潇洒;本书是复变函数与积分变换第三版哈尔滨工业大学数学教学丛书, 科学出版社,2014一书的教学辅导与学习参考书,可与该教材配套使用 全书共分8章每章包括内容提要典型例题剖析测试题及其解答等四 部分,而且每章的后一部分都对复变函数与积分变换第三版一书相应章 节的习题作出了。
