使用图形来表示算法是一种非常有效的方法汇编语言程序流程图怎么画,因为一张图胜过千言万语流程图在汇编语言和早期的BASIC语言环境中得到了应用与之相关的还有PAD图汇编语言程序流程图怎么画,它非常适合PASCAL或C语言Flowchart is a diagrammatic representation that illustrates an algorithm, workflow, or process, using various types of boxes to;1打开画图在线网站,点击画布上方流程图在跳转的页面点击立即体验进入在线绘制界面2在画布的四周是工具栏,在绘制中可以编辑使用,页面四周的操作都是可以进行熟练利用的,这样可以绘制出更加精美好看的流程图3左侧的流程图形是搭建流程图的关键,选择需要的流程图图形移动至右面编辑面板中进行编辑使用就。
汇编语言程序设计流程图 编写一个程序,实现如下功能从键盘输入若干个整数视为十进制数,取值范围0,各个数之间用空格隔开,以回车键结束输入找出其中的平方数并依次输出到屏幕上,以十进制数的 编写一个程序,实现如下功能 从键盘输入若干个整数视为十进制数,取值范围0,各个数之间用空格隔开;1首先将幻灯片打开,点击上方的“插入”菜单2然后在插入菜单中找到并点击“流程图”图标3最后在流程图对话窗口中选择一种流程图,点击插入即可二1在电脑上找到该软件,点击打开2进入到该软件以后点击空白绘图按钮3在出现的选项中点击创建4此时在出现的页面中点击更多形状。
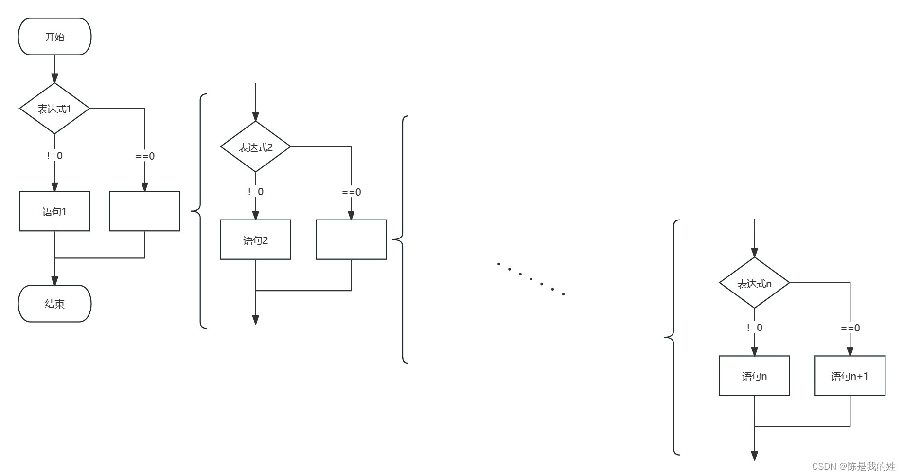
问题三简述用汇编语言进行程序设计的步骤 汇编语言程序设计步骤 1分析问题已知条件要解决的问题功能性能要求等 2建立数学模型把问题数学化公式化,便于计算机处理 3确定算法简单速度快精度高代码量小编程容易 4绘制程序流程图用箭头框图菱形图等表示程序结构;绘制流程图的步骤 为便于识别,绘制流程图的习惯做法是事实描述用椭圆形表示 行动方案用矩形表示 问题用菱形表示 箭头代表流动方向 流程图实例图 使用流程图需要考虑的问题 使用流程图需要考虑很多问题,如过程中是否存在某些环节,删掉它们后能够降低成本或减少时间还有其他更有效的方式构造该流程吗。
接着依次比较a,b,c 先比较ab的值,若a大于b则用t把a和b进行交换然后比较ac的值,若a大于c,则用t把a和c的值进行交换最后比较bc的值,若b大于c,则用t把b和c的值进行交换 接着就可以按照从小到大的顺序依次输出啊a,b,c了具体程序#includeltstdiohvoid main。
输出输入框表示程序流程中资料的输入或结果的输出,一般用做数据处理流程图的三种基本结构是顺序结构选择结构循环结构,流程图Flowchart使用图形表示算法的思路是一种极好的方法,因为千言万语不如一张图流程图在汇编语言和早期的BASIC语言环境中得到应用相关的还有一种PAD图,对PASCAL或C。
过程流程图的步骤 分析利用过程流程图来说明产品服务形成全过程,为了说明过程所有可能的波动偏差,应把所有人力资源文件程序方法设备和测量仪器等都包括在过程的说明中过程流程图应使用标准或公认的图形符号或语言及结构来绘制过程流程图常用的绘制流程图的符号如下 椭圆符号表示终端它表示一个过程的。
如果汇编语言程序流程图怎么画我们按下快捷键ctrl+enter,就会出现一个决策程序结构一个主题有两个决策方向,是与否意思是,如果条件成立,流程会怎样推进如果条件不成立,流程会怎样推进图6决策程序 下面我们就用上述所讲的方法来用MindManager绘制一个简单的员工进退公司轨迹流程图员工进入公司正常的流程都是通过招聘。
插入到文档”8操作第7步后,流程图已插入文档中如排版不符合自己要求,可以根据需要进行相应地排版流程图Flowchart使用图形表示算法的思路是一种极好的方法,因为千言万语不如一张图流程图在汇编语言和早期的BASIC语言环境中得到应用相关的还有一种PAD图,对PASCAL或C语言都极适用。

data segment x db 1 data ends code segment assume cscode,dsdata startmov ax,data mov ds,ax mov ax,0 mov cx, 100 sadd ax,x add x,1 loop s mov ax,4c00h int 21h code ends end start。
3确定算法确认数学模型后,需要确定符合计算机运算的算法,优先选择逻辑简单运算速度快的和考虑占用内存编程难易等特点4绘制程序流程图5内存空间分配分配代码段数据段等6编制程序和静态检查按计算机语言规定书学计算机解决问题的过程,静态检查,通过认为检查语法和结构7程序调试。
1传统流程图2思路比大小,10个数,标上标签,依次为1,2,310然后第1个跟第二个比较大小,如果第1个大于第二个,那么交换下1跟2的标签,如果第1个不大于2第二个,不交换标签,接着比较第二个跟第三个,比完最后一个为止10标签的就是最大的那个数3用C语言方法读入a。

一般来说,编制一个汇编语言程序的步骤如下1 分析题意,确定算法或算法思想算法是指解决问题的方法和步骤比如现有的一些计算方法和日常生活中解决问题的逻辑思维推理方法等2 根据算法画出流程图,简单的情况也可不画画出描述算法的流程图,可以首先从图上检验算法的正确性,减少出错的。